Como descobrir o tamanho do dedo
O anel é um presente maravilhoso e apropriado para qualquer celebração. Pode ser apresentado não apenas pelo homem de sua amada. Esta é também uma surpresa maravilhosa para a mãe, irmã, namorada, irmão, marido, filho. Para tornar a decoração uma surpresa agradável, você precisa descobrir como descobrir o tamanho do dedo. Não há nada de difícil nisso, você só precisa ser inteligente e usar as recomendações descritas abaixo.
Como determinar o tamanho do dedo (instruções passo a passo)
Antes de aprender a medir o tamanho do seu dedo para um anel, você precisa considerar vários pontos importantes:

- Durante o dia, o diâmetro da circunferência do dedo pode variar. Devido à água acumulada durante uma noite de sono pela manhã, suas mãos podem inchar. O tempo de medição ideal é meio dia.
- Para não ter que pensar em como reduzir o anel ou aumentá-lo levemente, recuse-se a experimentar o produto em condições extremas de frio ou calor. Os dedos incham a altas temperaturas e tornam-se menores a baixas temperaturas.
- Você não deve calcular o diâmetro se estiver muito excitado ou aborrecido, tiver participado recentemente de esportes e durante os dias críticos.
- Recomenda-se escolher uma jóia um pouco maior. Portanto, o produto não vai apertar o dedo no calor.
- Dedos sem nome das mãos esquerda e direita têm diferentes espessuras e, portanto, o anel de casamento é escolhido estritamente em diâmetro. O dedo desejado é mais fino (0,5 mm) no meio e no índice.
- Se você comprar um anel com um dedo inteiro ou uma largura de mais de 8 mm, você precisa considerar que o tamanho da jóia deve ser aumentado em 25%.
Meça o diâmetro do anel em casa
Existem vários métodos comprovados para medir o diâmetro de um círculo. Explore cada um deles com mais detalhes. O primeiro método exigirá um fio liso de 50 cm de comprimento e a sequência de ações é a seguinte:
- Enrole firmemente (não firmemente) com o fio seu dedo cinco vezes.
- Em seguida, cruze as duas extremidades do fio sem interromper a dobra e corte-as cuidadosamente na interseção com uma tesoura.
- Meça o comprimento da linha resultante com uma régua, fita métrica ou centímetro. Converta o valor resultante em milímetros, divida por 15,7. Este será o diâmetro desejado.
- Sempre faça o arredondamento das medidas para cima, por exemplo, arredondamos 15,2 para o tamanho padrão 15,5.
Para o segundo método, para descobrir como determinar o tamanho do anel em casa, uma tira (1,5 cm) de papel fino comum é adequada. Siga estas instruções:
- Corte uma fina tira de papel e envolva-a em volta do seu dedo.
- Na junção das duas extremidades, desenhe uma marca com um lápis.
- Usando uma régua, meça o comprimento da tira de papel até a marca.
- Divida o valor resultante (converter em milímetros) em 3,14, calcule o diâmetro necessário.
Carta de tamanho

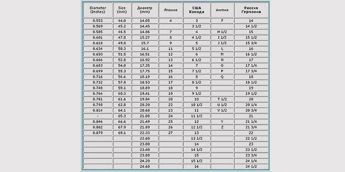
Hoje é muito popular comprar jóias e jóias não apenas em joalherias do seu país, mas também em catálogos estrangeiros ou on-line. Além do russo, há também uma escala inglesa e americana para medir anéis. A plataforma de lojas on-line Aliexpress, que tem uma ampla gama de jóias e jóias, ganhou grande popularidade em todo o mundo. Anéis chineses dourados não são exceção. Os tamanhos neste site são consistentes com a escala dos EUA. A foto abaixo mostra uma tabela de tamanhos masculinos e femininos internacionais.
Como saber o tamanho secretamente
Se você precisa escolher um anel para outra pessoa, mas para que ele tenha sido uma surpresa, use as seguintes dicas:

- Tente discretamente tirar do seu amado o anel que ela usa de tempos em tempos. Esse método é possível se você tiver acesso às joias da garota, a partir do qual existe a oportunidade de escolher a opção certa.
- Tome medidas você mesmo. Veja quando sua namorada remove (antes de ir para a cama, cozinhar, lavar pratos) o anel que ela usa o tempo todo. Coloque o produto em um pedaço de papel branco e circule-o com um lápis ou caneta ao longo do contorno interno ou faça uma impressão da decoração em um pedaço de sabão, plasticina.
- Experimente o anel da sua amada mulher no seu dedo. Marque com um marcador ou marque o nível para o qual ele subiu.
- Pergunta o tamanho do anel por astúcia. Por exemplo, use o teste de compatibilidade, primeiro altere as perguntas para as que você precisa.
Vídeo como medir seu dedo
Para encomendar um produto que você gosta na Internet e não calcular mal, você precisa saber como determinar independentemente o tamanho do seu dedo. Se não for possível ir a uma joalheria, onde um especialista fará medições precisas, use o seguinte vídeo. Ele mostra claramente como descobrir o tamanho do dedo para o anel com rapidez e facilidade. Até um milímetro, o indicador correto não pode ser calculado. Lembre-se: quase todas as jóias com a ajuda de um joalheiro podem ser alteradas para o tamanho desejado.
Como determinar o tamanho do seu dedo? Método 2